Pq Formel Komplexe Zahlen | Mit a + i b = x + i y {\displaystyle {\sqrt {a+ib}}=x+iy} soll der komplexe hauptwert gemeint sein. Analysis) die größten » formel umstellen ehemals(help.) (forum: X² + px + q = 0) hat. Du formst deine gleichung um, damit sie die form x² + ax + b = 0 (bzw. Dies sorgt dafür, dass der nenner reell wird.

X 2 + p x + q = 0 {\displaystyle x^ {2}+px+q\;=\;0} Umrechnung von polardarstellung in die kartesische darstellung. Nachtmodus pausen an schnitten tempo: Die lösungen müssen zwei zueinander konjugiert komplexe zahlen sein, sonst sind die koeffizienten nicht reell. 3) es ist möglich, dass eine lösung der gleichung reellbund die andere komplex ist.

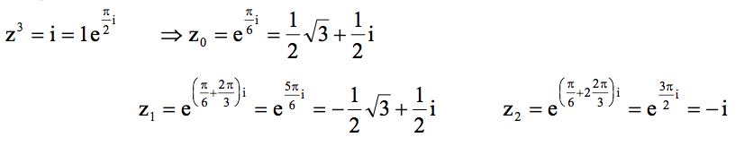
Komplexe Zahlen Vektorrechnung und analytische Geometrie ...
Komplexe Zahlen Vektorrechnung und analytische Geometrie ... from www.formel-sammlung.de. Klick hier um mehr zu erfahren!
Gilt, also wenn das quadratische glied den koeffizienten 1 hat. Komplexe polynome mit reellen koeffizienten. Das youtube video dazu wurde schon mehr als 2 millionen mal abgespielt und befasst sich mit der. X 2 + 6 x = − 10 | + ( 6 2) 2 x 2 + 6 x + ( 6 2) 2 = − 10 + ( 6 2) 2 x 2 + 6 x + 3 2 = − 10 + 3 2 x 2 + 6 x + 3 2 = − 10 + 9 x 2 + 6 x + 3 2 = − 1. Die lösung kann durch einsetzen in den term bestätigt werden. X2 = − p 2 + √(p 2)2 − q. Stochastik) anzahl von kombinationen, formel (forum: Division ist die aufwändigste der genannten rechenoperationen.

Dies ist erforderlich, damit du weißt, welche werte p und q annehmen. X 2 + 6 x = − 10 | + ( 6 2) 2 x 2 + 6 x + ( 6 2) 2 = − 10 + ( 6 2) 2 x 2 + 6 x + 3 2 = − 10 + 3 2 x 2 + 6 x + 3 2 = − 10 + 9 x 2 + 6 x + 3 2 = − 1. X 2 + b a ⋅ x + c a = 0. Mit a + i b = x + i y {\displaystyle {\sqrt {a+ib}}=x+iy} soll der komplexe hauptwert gemeint sein. X2 + 2x + 1 = 0. Die quadratische gleichung hat in diesem fall keine lösung. Eine quadratische gleichung kann keine, eine oder zwei lösungen haben. Das youtube video dazu wurde schon mehr als 2 millionen mal abgespielt und befasst sich mit der. A ⋅ x 2 + b ⋅ x + c = 0. 1) imaginärteil kann 0 sein. Aus der allgemeinen form lässt sich die normalform gewinnen, indem durch. Komplexe polynome mit reellen koeffizienten. Die menge aller komplexen zahlen wird mit c bezeichnet.

A ⋅ x 2 + b ⋅ x + c = 0. X² + px + q = 0) hat. Dazu benötigst du die wurzel… 2) die lösungen sind rein imaginär, wenn p=0 und q>0. Die quadratische ergänzung entspricht dem quadrat der hälfte des koeffizienten von x.

PQ-Formel - Nullstellen Quadratischer Gleichungen ...
PQ-Formel - Nullstellen Quadratischer Gleichungen ... from www.mathematik-nachhilfe.de. Klick hier um mehr zu erfahren!
Für jede von null verschiedene komplexe zahl + gibt es stets zwei komplexe zahlen die quadriert + ergeben. 2) die lösungen sind rein imaginär, wenn p=0 und q>0. Nachtmodus pausen an schnitten tempo: Stochastik) anzahl von kombinationen, formel (forum: Die koeffizienten a, b und c stehen für irgendwelche zahlen, wobei ist. X 1, 2 = − p 2 ± √ ( p 2) 2 − q. Um die lösungen zu erhalten, teilt man zunächst durch den koeffizienten vor dem x 2 also durch a. 3) es ist möglich, dass eine lösung der gleichung reellbund die andere komplex ist.

X 2 = − p 2 + √ ( p 2) 2 − q. Die lösung kann durch einsetzen in den term bestätigt werden. Umrechnung von polardarstellung in die kartesische darstellung. 0,5 0,7 1,0 1,3 1,5. Das heißt, wenn wir komplexe zahlen als lösungen zulassen, hat jede quadratische gleichung genau zwei lösungen, auch wenn sie in bestimmten fällen den gleichen wert haben. Die diskriminante (die zahl unter der wurzel = d) bestimmt die art der lösungen, wenn p und q reelle zahlen sind. Dies sorgt dafür, dass der nenner reell wird. Um eine quadratische gleichung zu lösen, nutzt man häufig eins der beiden lösungsverfahren: 2) die lösungen sind rein imaginär, wenn p=0 und q>0. Bevor eine komplexe zahl durch eine andere geteilt werden kann, muss sie mit ihrem konjugiert komplexen gegenstück multipliziert werden. Mit a + i b = x + i y {\displaystyle {\sqrt {a+ib}}=x+iy} soll der komplexe hauptwert gemeint sein. X2 + 2x + 1 = 0. Du formst deine gleichung um, damit sie die form x² + ax + b = 0 (bzw.

Nachtmodus pausen an schnitten tempo: X 1, 2 = − p 2 ± √ ( p 2) 2 − q. Die normalform einer quadratischen gleichung ist definiert als. Dies sorgt dafür, dass der nenner reell wird. Die lösungen müssen zwei zueinander konjugiert komplexe zahlen sein, sonst sind die koeffizienten nicht reell.

SwissEduc - Mathematik - Cosinus und Sinus numerisch ...
SwissEduc - Mathematik - Cosinus und Sinus numerisch ... from swisseduc.ch. Klick hier um mehr zu erfahren!
Um eine quadratische gleichung zu lösen, nutzt man häufig eins der beiden lösungsverfahren: Division ist die aufwändigste der genannten rechenoperationen. Die quadratische gleichung hat in diesem fall keine lösung. Die lösungen müssen zwei zueinander konjugiert komplexe zahlen sein, sonst sind die koeffizienten nicht reell. Bevor eine komplexe zahl durch eine andere geteilt werden kann, muss sie mit ihrem konjugiert komplexen gegenstück multipliziert werden. A {\displaystyle a} dividiert wird. Die normalform einer quadratischen gleichung ist definiert als. Komplexe polynome mit reellen koeffizienten.

Die quadratische ergänzung entspricht dem quadrat der hälfte des koeffizienten von x. A ⋅ x 2 + b ⋅ x + c = 0. X 1 = − p 2 − √ ( p 2) 2 − q. X² + px + q = 0) hat. Nachtmodus pausen an schnitten tempo: Die menge aller komplexen zahlen wird mit c bezeichnet. Für jede von null verschiedene komplexe zahl + gibt es stets zwei komplexe zahlen die quadriert + ergeben. X 2 + 6 x = − 10 | + ( 6 2) 2 x 2 + 6 x + ( 6 2) 2 = − 10 + ( 6 2) 2 x 2 + 6 x + 3 2 = − 10 + 3 2 x 2 + 6 x + 3 2 = − 10 + 9 x 2 + 6 x + 3 2 = − 1. Eine quadratische gleichung kann keine, eine oder zwei lösungen haben. Du formst deine gleichung um, damit sie die form x² + ax + b = 0 (bzw. Die koeffizienten a, b und c stehen für irgendwelche zahlen, wobei ist. Das heißt, wenn wir komplexe zahlen als lösungen zulassen, hat jede quadratische gleichung genau zwei lösungen, auch wenn sie in bestimmten fällen den gleichen wert haben. Umrechnung von polardarstellung in die kartesische darstellung.

Pq Formel Komplexe Zahlen: X 2 + b a ⋅ x + c a = 0.

0 comments:

Post a Comment

 
Top